Topological sorting ¶
Topological sorting¶
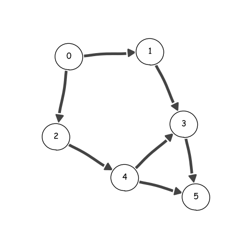
This example demonstrates how to get a topological sorting on a directed acyclic graph (DAG). A topological sorting of a directed graph is a linear ordering based on the precedence implied by the directed edges. It exists iff the graph doesn’t have any cycle. In igraph
, we can use topological_sorting()
to get a topological ordering of the vertices.
import igraph as ig
# generate a directed acyclic graph (DAG)
g = ig.Graph(
edges=[(0, 1), (0, 2), (1, 3), (2, 4), (4, 3), (3, 5), (4, 5)],
directed=True,
)
assert g.is_dag
# g.topological_sorting() returns a list of node IDs
# If the given graph is not DAG, the error will occur.
results = g.topological_sorting(mode='out')
print('Topological sort of g (out):', *results)
results = g.topological_sorting(mode='in')
print('Topological sort of g (in):', *results)
There are two modes of topological_sorting()
. 'out'
is the default mode which starts from a node with indegree equal to 0. Vice versa, the mode 'in'
starts from a node with outdegree equal to 0.
The output of the code above is:
Topological sort of g (out): 0 1 2 4 3 5
Topological sort of g (in): 5 3 1 4 2 0
We can use indegree()
to find the indegree of the node.
import igraph as ig
# generate directed acyclic graph (DAG)
g = ig.Graph(edges=[(0, 1), (0, 2), (1, 3), (2, 4), (4, 3), (3, 5), (4, 5)],
directed=True)
# g.vs[i].indegree() returns the indegree of the node.
for i in range(g.vcount()):
print('degree of {}: {}'.format(i, g.vs[i].indegree()))
'''
degree of 0: 0
degree of 1: 1
degree of 2: 2
degree of 3: 3
degree of 4: 4
degree of 5: 5
'''

The graph g with topological sorting.¶
We can easily plot our topologically sorted graph as follows:
import igraph as ig
import matplotlib.pyplot as plt
# generate a directed acyclic graph (DAG)
g = ig.Graph(
edges=[(0, 1), (0, 2), (1, 3), (2, 4), (4, 3), (3, 5), (4, 5)],
directed=True,
)
# visualization (use xkcd style for a different flavor)
with plt.xkcd():
fig, ax = plt.subplots(figsize=(5, 5))
ig.plot(
g,
target=ax,
layout='kk',
vertex_size=0.3,
edge_width=4,
vertex_label=range(g.vcount()),
vertex_color="white",
)